Abstract
BACKGROUND & METHODS
Cfz/Dex is a standard of care in relapsed MM, and renal impairment is a poor prognostic factor. The ALLG MM16 trial was initiated to assess the feasibility of treating patients (pts) who have significant RI (eGFR 15 - 40 ml/min) with Cfz/Dex, and to determine whether an early reduction in serum free light chains (SFLC), with a short half-life, could predict renal outcome. A pre-planned interim analysis was conducted after Cycle 1 of the 32nd registered pt, to assess disease and renal response, predictive value of early SFLC measurements and tolerability. Of concern was whether acute kidney injury (AKI) in the early stages of Cfz treatment may be more common in pts with RI. eGFR was calculated using the MDRD formula. SFLC was measured by the FreeLite assay.
RESULTS
Patient characteristics
Mean age was 56.7 ±1 yr; Stage II/III: 4/28. Median eGFR at enrolment was 27 (IQR 21-32) ml/min. The first 11 pts received Cfz 20/27 mg/m2. After a safety analysis, the next 21 pts were treated at 20/56 mg/m2. Twelve pts were treatment naïve (TN) (all receiving 20/56) and 20 pts had relapsed MM (median 3 prior lines; range 1 - 8). One to 29 cycles were administered, median 4.5 in 20/27 and 4 in 20/56 group. Median follow up was 5.1 (0.1 - 26.5) months.
Disease Response
Of pts who received ≥4 cycles, 83% achieved ≥PR. In TN pts, best response rates were sCR 33%, CR 17%, VGPR 33%, PR 17%; in relapsed pts, CR 17%, VGPR 25%, PR 33%, PD 25%.
Renal response
After the first 2 cycles, 24% of pts had a complete renal response (IMWG criteria). To determine if Cfz acutely worsened eGFR, change in eGFR from baseline to day 7 (D7) and D28 was calculated. D7 eGFR showed substantial improvement in TN compared to relapsed pts (+5.6 vs -1.2 ml/min). At D28, the improvement in TN vs relapsed pts (+21.4 vs +3.5 ml/min), and in the 20/56 vs 20/27 group (+14.2 vs +3.5 ml/min) was more pronounced. Comparable results were seen in serum creatinine.
Early free light chain kinetics
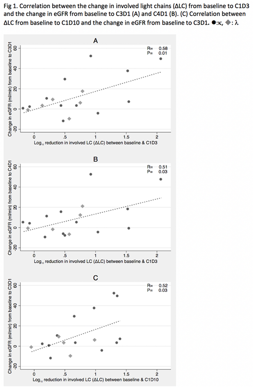
Mean change in involved SFLC after 1 & 2 cycles were -54.5% and -67.0% respectively, with mean increase in eGFR of 9.3 and 11.4 ml/min. Involved LC reduction was significantly greater in 20/56 vs 20/27 doses (at C2D1, 81 vs 13%; p<0.001). Early SFLC measurements were performed at C1D3 (24 h post 2nd Cfz dose) and C1D10 (24 h post 4th dose). The change in involved SFLC (∆LC) between baseline and C1D3 was predictive of change in eGFR at C3D1 and C4D1 (Fig 1A & B). For every one log10reduction in involved LC at C1D3, there was an increase in eGFR of 18.2 and 14.8 ml/min at C3 and C4. ∆LC from baseline to C1D10 was also predictive of change in eGFR at C3 (Fig 1C). Thus ∆LC measured early in C1 (C1D3, C1D10) can be used to predict the likelihood of renal response within 2 cycles. Any ∆LC below the required efficacy could be an indication to change treatment strategy.
Tolerability
A total of 25 pts have ceased treatment: disease progression (10), CR after 10 cycles per protocol (2), autologous transplant (3), AE (8), investigator or pt decision (1 each). Total AEs (CTCAE V.4.0) were more frequent in more severe RI (78% in 30-60 ml/min; 89% 15-30 ml/min). AEs ≥Grade (Gd) 3 occurred in 50%. The most common ≥Gd 3 AEs were thrombocytopenia (12.5%), cardiac dysfunction (12.5%) and anemia (9%). AEs of particular interest were hypertension (Gd 2 - 3, 19%) and tumour lysis syndrome (6%). There was only 1 case (3%) of AKI (Gd 2). More respiratory AEs occurred in the 20/56 compared to 20/27 cohort (5 vs 1) and all 3 cases of cardiac dysfunction occurred in 20/56 group, but there were no differences in other AEs. To date 8/32 pts have died, all in relapsed MM group - primary causes were myeloma (5), infection (1), respiratory failure (1) and chronic kidney injury (1).
CONCLUSIONS
In MM pts with RI, Cfz/dex showed disease response rates comparable to pts with normal renal function in ENDEAVOR. There was no increased AKI due to Cfz; instead, creatinine and eGFR improved with time, with a greater improvement in the 20/56 dose group and in TN pts. Our results also demonstrate the value of early SFLC kinetics measured at C1D3 and C1D10 in predicting renal response. A suboptimal early ∆LC may be an appropriate indicator to use a higher dose density to achieve a better renal outcome.
Ho:Janssen: Honoraria, Membership on an entity's Board of Directors or advisory committees; Novartis: Honoraria, Membership on an entity's Board of Directors or advisory committees; Takeda: Honoraria, Membership on an entity's Board of Directors or advisory committees, Other: Travel to meeting; Celgene: Other: Travel to meeting ; Amgen: Honoraria, Membership on an entity's Board of Directors or advisory committees. Spencer:Celgene: Honoraria, Research Funding, Speakers Bureau; Janssen-Cilag: Honoraria, Research Funding, Speakers Bureau; Amgen: Honoraria, Research Funding; BMS: Research Funding; Takeda: Honoraria, Research Funding, Speakers Bureau; STA: Honoraria. Mollee:Celgene: Membership on an entity's Board of Directors or advisory committees; Amgen: Membership on an entity's Board of Directors or advisory committees; Janssen: Consultancy, Membership on an entity's Board of Directors or advisory committees, Research Funding. Bryant:Celgene: Consultancy, Honoraria. Trotman:PCYC: Research Funding; Beigene: Research Funding; Celgene: Other: Unremunerated member of Ad Board, Research Funding; F. Hoffman-La Roche: Other: Travel to meeting, Unremunerated member of Ad Board, Research Funding; Janssen: Other: Unremunerated member of Ad Board, Research Funding; Takeda: Other: Unremunerated member of Ad Board. Gibbs:Amgen: Honoraria. Joshua:Amgen: Honoraria.
Author notes
Asterisk with author names denotes non-ASH members.

This feature is available to Subscribers Only
Sign In or Create an Account Close Modal